Le nombre de participants nécessaire dépend des objectifs de votre sondage et de l’intervalle de confiance souhaité pour les résultats. Plus l’intervalle de confiance visé est élevé, plus les marges d’erreur que vous devez accepter sont faibles.
Pour calculer le nombre de participants nécessaire (également appelé taille d'échantillon), utilisez notre calculatrice de taille d'échantillon.
ASTUCE ! Si vous avez besoin d'un nombre de participants garanti à votre sondage, achetez des réponses auprès de SurveyMonkey Audience. Indiquez le nombre de réponses dont vous avez besoin. Nous utiliserons alors vos critères de ciblage pour vous trouver des participants.
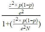
Pour calculer la taille de votre échantillon, vous avez besoin des informations suivantes :
Calculez en quelques secondes le nombre de participants nécessaire à l'aide de notre calculatrice de taille d'échantillon. Si vous souhaitez effectuer le calcul à la main, utilisez la formule suivante :
Statistique | Description |
| N | Taille de la population |
| e | Marge d'erreur (sous forme décimale) |
| z | Intervalle de confiance (score z) |
| p | Valeur en pourcentage (sous forme décimale) |
Le tableau ci-dessous indique les tailles de population recommandées par marge d’erreur pour un intervalle de confiance de 95 %. Nous avons utilisé la formule ci-dessus pour calculer les tailles d’échantillon recommandées. Dans certains cas, nous avons arrondi les tailles d’échantillon au multiple de 5 ou 10 le plus proche. Pour un calcul plus précis, utilisez notre calculatrice de taille d'échantillon.
| Taille de la population | Taille d’échantillon par marge d’erreur | Taille d’échantillon par marge d’erreur | Taille d’échantillon par marge d’erreur |
| 3 % | ±5 % | ±10 % | |
| 500 | 345 | 220 | 80 |
| 1 000 | 525 | 285 | 90 |
| 3 000 | 810 | 350 | 100 |
| 5 000 | 910 | 370 | 100 |
| 10 000 | 1 000 | 385 | 100 |
| Plus de 100 000 | 1 100 | 400 | 100 |
Vous envoyez un sondage qui comprend une question de type Oui/Non demandant si les parents d'enfants scolarisés dans votre établissement sont favorables à un allongement de la journée scolaire.
Le nombre total de parents (la taille de votre population) s'élève à 10 000 et la marge d'erreur tolérée est de plus ou moins 10 %. D'après le tableau ci-dessus, vous aurez besoin d'au moins 100 participants.
70 des 100 parents interrogés ont répondu qu’ils étaient favorables à l’allongement de la journée scolaire. Vous pouvez donc supposer que si les 10 000 parents avaient répondu au sondage, entre 60 et 80 % d’entre eux auraient été favorables à l’allongement de la journée.
Votre taux de réponse peut avoir une incidence sur le nombre de personnes à qui vous envoyez votre sondage. Plus le taux de réponse est élevé, moins le nombre de personnes à qui vous demandez de participer au sondage sera élevé.
Par exemple, si vous avez besoin de 100 participants et que vous estimez que 25 % des personnes invitées à participer au sondage y répondront effectivement, vous devez en inviter 400.
Pour calculer le nombre de personnes à inviter à participer à votre sondage en fonction du taux de réponse escompté, utilisez l’équation suivante :
Participants recherchés
Prenez le nombre de personnes dont vous avez besoin pour répondre à votre sondage
÷ Taux de réponse
Divisez par le taux de réponse escompté (utilisez 25 pour 25 % ; si vous utilisez 0,25, ignorez l'étape 3)
x 100
Ensuite, multipliez par 100 (pour tenir compte de l'utilisation d'un pourcentage par rapport à une décimale à l'étape 2)

